服务热线:
企业 QQ:
15633056635
2880679888
首页
产品中心
杂质对照品
技术支持
已知杂质标化
未知杂质鉴定
制备分离
定制合成
产品资质提供
关于耀博
公司概况
企业文化
企业荣誉
公司动态
招贤纳士
联系我们
产品中心
您当前的位置:
耀博医药
>
产品中心
>
杂质对照品
>
钆特酸葡胺注射液杂质对照品
>
钆特酸葡胺注射液杂质对照品 - 产品列表
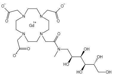
钆特酸葡胺注射液杂质F
产品编码:GTSPAZSY-F
CAS:N/A
收藏网址
返回顶部
展开
展开
收起
在线客服
online service
在线客服1
在线客服2