产品编码:DBXT-C-TA
CAS:
产品编码:DBXT-C-MSA
CAS:
产品编码:DBXT-P
CAS:N/A
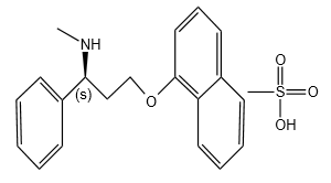
产品编码:DBXD-O
CAS:1091626-77-5
产品编码:DBXD-G
CAS:N/A
产品编码:DBXD-E
CAS:N/A
产品编码:DBXD-N
CAS:N/A
产品编码:DBXD-L
CAS:910560-67-7
产品编码:DBXD-K
CAS:N/A
产品编码:DBXD-C
CAS:N/A
产品编码:DBXT-H
CAS:N/A
产品编码:DBXD-D
CAS:1135305-10-0